Journal of Agricultural Science and Technology ›› 2025, Vol. 27 ›› Issue (9): 193-203.DOI: 10.13304/j.nykjdb.2024.0255
• BIO-MANUFACTURING & RESOURCE AND ECOLOGY • Previous Articles
Wen HU1,2(), Pengpeng ZHANG1,2, Liping ZHUANG1,2, Pengli WANG1,2, Yangjun ZOU1,2(
)
Received:
2024-03-30
Accepted:
2024-06-24
Online:
2025-09-15
Published:
2025-09-24
Contact:
Yangjun ZOU
胡雯1,2(), 张朋朋1,2, 庄丽萍1,2, 王鹏丽1,2, 邹养军1,2(
)
通讯作者:
邹养军
作者简介:
胡雯 E-mail:2206986243@qq.com;
基金资助:
CLC Number:
Wen HU, Pengpeng ZHANG, Liping ZHUANG, Pengli WANG, Yangjun ZOU. Effects of Clover Mulch on Soil Physical and Chemical Properties and Leaf Physiological Characteristics in Dryland Apple Orchards[J]. Journal of Agricultural Science and Technology, 2025, 27(9): 193-203.
胡雯, 张朋朋, 庄丽萍, 王鹏丽, 邹养军. 不同品种三叶草覆盖对旱地苹果园土壤理化特性和叶片生理特征的影响[J]. 中国农业科技导报, 2025, 27(9): 193-203.
土层 Soil layer/cm | pH | 有机质 Organic matter/(g·kg-1) | 全氮Total N/(g·kg-1) | 全磷Total P/(g·kg-1) | 全钾Total K/ (g·kg-1) | 速效氮Available N/(mg·g-1) | 速效磷Available P/(mg·g-1) | 速效钾Available K/(mg·g-1) |
---|---|---|---|---|---|---|---|---|
0—20 | 8.36 | 6.47 | 0.25 | 0.73 | 18.91 | 15.00 | 16.18 | 115.73 |
20—40 | 8.31 | 6.36 | 0.24 | 0.61 | 17.55 | 13.43 | 15.38 | 103.12 |
Table 1 Physical and chemical characteristics of 0—40 cm soil layer in the experimental site
土层 Soil layer/cm | pH | 有机质 Organic matter/(g·kg-1) | 全氮Total N/(g·kg-1) | 全磷Total P/(g·kg-1) | 全钾Total K/ (g·kg-1) | 速效氮Available N/(mg·g-1) | 速效磷Available P/(mg·g-1) | 速效钾Available K/(mg·g-1) |
---|---|---|---|---|---|---|---|---|
0—20 | 8.36 | 6.47 | 0.25 | 0.73 | 18.91 | 15.00 | 16.18 | 115.73 |
20—40 | 8.31 | 6.36 | 0.24 | 0.61 | 17.55 | 13.43 | 15.38 | 103.12 |
处理Treatment | 草种 Grass seed | 千粒重Thousand seed weight/g | 发芽率Germination rate/% | 播种量Seeding rate/kg | 生草方式 Grass way | 还田时间 Return time(m/d) |
---|---|---|---|---|---|---|
CK | — | — | — | — | — | |
T1 | 绛三叶 Crimson clover | 5.17 | 85 | 6.5 | 撒播Sowing | 9/20 |
T2 | 白三叶 White clover | 6.17 | 79 | 6.5 | 撒播Sowing | 9/20 |
T3 | 红三叶 Red clover | 6.18 | 83 | 6.5 | 撒播Sowing | 9/20 |
Table 2 Grass species and program
处理Treatment | 草种 Grass seed | 千粒重Thousand seed weight/g | 发芽率Germination rate/% | 播种量Seeding rate/kg | 生草方式 Grass way | 还田时间 Return time(m/d) |
---|---|---|---|---|---|---|
CK | — | — | — | — | — | |
T1 | 绛三叶 Crimson clover | 5.17 | 85 | 6.5 | 撒播Sowing | 9/20 |
T2 | 白三叶 White clover | 6.17 | 79 | 6.5 | 撒播Sowing | 9/20 |
T3 | 红三叶 Red clover | 6.18 | 83 | 6.5 | 撒播Sowing | 9/20 |
Fig. 1 Soil water content of 0 to 20 and 20 to 40 cm soil layer in apple orchard under different treatmentsNote: Different lowercase letters indicate significant differences between different treatments of same time at P<0.05 level.
Fig. 2 Soil bulk density in 0 to 20 and 20 to 40 cm soil layer in apple orchard under different treatmentsNote:Different lowercase letters indicate significant differences between different treatments of same time at P<0.05 level.
Fig. 3 Soil enzyme activity in 0 to 20 and 0 to 40 cm soil layer in apple orchard under different treatmentsNote:Different lowercase letters indicate significant differences between different treatments of same time at P<0.05 level.
土层 Soil layer/cm | 处理 Treatment | pH | 有机质 Organic matter/ (g·kg-1) | 全氮 Total N/ (g·kg-1) | 全磷 Total P/ (g·kg-1) | 速效磷 Available P/(mg·kg-1) | 速效钾Available K/ (mg·kg-1) |
---|---|---|---|---|---|---|---|
0—20 | CK | 8.36±0.01 a | 6.56±0.06 c | 0.24±0.01 b | 0.75±0.01 a | 19.67±0.24 b | 14.92±0.07 b |
T1 | 8.15±0.01 c | 7.73±0.31 a | 0.38±0.01 a | 0.73±0.04 a | 20.57±0.85 ab | 18.51±0.27 a | |
T2 | 8.27±0.02 b | 7.26±0.05 b | 0.39±0.02 a | 0.76±0.02 a | 21.14±1.17 ab | 19.25±0.27 a | |
T3 | 8.32±0.02 b | 7.19±0.19 b | 0.35±0.03 a | 0.75±0.01 a | 21.33±0.54 ab | 16.17±0.29 a | |
20—40 | CK | 8.32±0.02 c | 6.51±0.17 b | 0.23±0.02 b | 0.64±0.01 a | 18.53±0.93 a | 13.12±0.28 c |
T1 | 8.14±0.02 a | 7.45±0.54 a | 0.36±0.01 a | 0.62±0.02 a | 20.91±1.04 a | 14.69±0.91 a | |
T2 | 8.21±0.03 a | 7.29±0.25 ab | 0.39±0.03 a | 0.63±0.03 a | 21.84±1.26 a | 13.81±0.64 ab | |
T3 | 8.29±0.02 b | 7.11±0.58 b | 0.33±0.03 a | 0.63±0.01 a | 22.38±1.89 a | 14.06±0.43 ab |
Table 3 pH and soil nutrients in 0 to 20 and 20 to 40 cm soil layers in apple orchard under different treatments
土层 Soil layer/cm | 处理 Treatment | pH | 有机质 Organic matter/ (g·kg-1) | 全氮 Total N/ (g·kg-1) | 全磷 Total P/ (g·kg-1) | 速效磷 Available P/(mg·kg-1) | 速效钾Available K/ (mg·kg-1) |
---|---|---|---|---|---|---|---|
0—20 | CK | 8.36±0.01 a | 6.56±0.06 c | 0.24±0.01 b | 0.75±0.01 a | 19.67±0.24 b | 14.92±0.07 b |
T1 | 8.15±0.01 c | 7.73±0.31 a | 0.38±0.01 a | 0.73±0.04 a | 20.57±0.85 ab | 18.51±0.27 a | |
T2 | 8.27±0.02 b | 7.26±0.05 b | 0.39±0.02 a | 0.76±0.02 a | 21.14±1.17 ab | 19.25±0.27 a | |
T3 | 8.32±0.02 b | 7.19±0.19 b | 0.35±0.03 a | 0.75±0.01 a | 21.33±0.54 ab | 16.17±0.29 a | |
20—40 | CK | 8.32±0.02 c | 6.51±0.17 b | 0.23±0.02 b | 0.64±0.01 a | 18.53±0.93 a | 13.12±0.28 c |
T1 | 8.14±0.02 a | 7.45±0.54 a | 0.36±0.01 a | 0.62±0.02 a | 20.91±1.04 a | 14.69±0.91 a | |
T2 | 8.21±0.03 a | 7.29±0.25 ab | 0.39±0.03 a | 0.63±0.03 a | 21.84±1.26 a | 13.81±0.64 ab | |
T3 | 8.29±0.02 b | 7.11±0.58 b | 0.33±0.03 a | 0.63±0.01 a | 22.38±1.89 a | 14.06±0.43 ab |
土层 Soil layer/ cm | 处理 Treatment | 碱性磷酸酶 AKP/(µg·g-1·h-1) | 蔗糖酶 SC/ (µg·g-1·h-1) | 脲酶 URE/ (µg·g-1·h-1) | 过氧化氢酶 CAT/ (mL·g-1·h-1) | 纤维二糖水解酶 CBH/ (nmol·g-1·h-1) | 亮氨酸氨基肽酶 LAP/ (nmol·g-1·h-1) |
---|---|---|---|---|---|---|---|
0—20 | CK | 94.26±3.02 c | 366.51±0.17 b | 64.22±3.02 b | 5.64±0.01 a | 4.53±0.93 a | 16.64±3.11 ab |
T1 | 113.89±7.77 a | 463.12±7.50 a | 83.51±5.48 a | 7.15±0.57 a | 4.51±0.42 a | 24.28±2.12 a | |
T2 | 117.66±4.59 a | 427.39±5.96 a | 77.08±4.69 a | 6.26±0.29 ab | 4.47±0.75 a | 19.33±1.36 b | |
T3 | 100.81±2.57 b | 406.46±6.03 b | 71.31±5.67 b | 6.79±0.41 ab | 4.78±0.59 a | 23.79±2.95 a | |
20—40 | CK | 74.36±03.02 c | 319.11±2.17 b | 54.22±3.02 c | 5.24±0.21 a | 3.53±0.93 a | 15.64±3.11 ab |
T1 | 89.82±3.98 ab | 381.06±6.65 a | 76.71±2.72 a | 6.61±0.32 a | 3.22±0.38 a | 19.28±0.98 a | |
T2 | 96.14±3.83 a | 358.16±3.88 b | 68.64±3.24 b | 5.68±0.51 a | 3.86±0.61 a | 15.71±1.07 b | |
T3 | 87.88±3.21 b | 360.96±2.16 b | 59.49±3.53 c | 6.25±0.64 a | 3.54±0.48 a | 16.40±2.66 b |
Table 4 Soil enzyme activities in 0 to 20 and 20 to 40 cm soil layers in apple orchards under different treatments
土层 Soil layer/ cm | 处理 Treatment | 碱性磷酸酶 AKP/(µg·g-1·h-1) | 蔗糖酶 SC/ (µg·g-1·h-1) | 脲酶 URE/ (µg·g-1·h-1) | 过氧化氢酶 CAT/ (mL·g-1·h-1) | 纤维二糖水解酶 CBH/ (nmol·g-1·h-1) | 亮氨酸氨基肽酶 LAP/ (nmol·g-1·h-1) |
---|---|---|---|---|---|---|---|
0—20 | CK | 94.26±3.02 c | 366.51±0.17 b | 64.22±3.02 b | 5.64±0.01 a | 4.53±0.93 a | 16.64±3.11 ab |
T1 | 113.89±7.77 a | 463.12±7.50 a | 83.51±5.48 a | 7.15±0.57 a | 4.51±0.42 a | 24.28±2.12 a | |
T2 | 117.66±4.59 a | 427.39±5.96 a | 77.08±4.69 a | 6.26±0.29 ab | 4.47±0.75 a | 19.33±1.36 b | |
T3 | 100.81±2.57 b | 406.46±6.03 b | 71.31±5.67 b | 6.79±0.41 ab | 4.78±0.59 a | 23.79±2.95 a | |
20—40 | CK | 74.36±03.02 c | 319.11±2.17 b | 54.22±3.02 c | 5.24±0.21 a | 3.53±0.93 a | 15.64±3.11 ab |
T1 | 89.82±3.98 ab | 381.06±6.65 a | 76.71±2.72 a | 6.61±0.32 a | 3.22±0.38 a | 19.28±0.98 a | |
T2 | 96.14±3.83 a | 358.16±3.88 b | 68.64±3.24 b | 5.68±0.51 a | 3.86±0.61 a | 15.71±1.07 b | |
T3 | 87.88±3.21 b | 360.96±2.16 b | 59.49±3.53 c | 6.25±0.64 a | 3.54±0.48 a | 16.40±2.66 b |
处理 Treatment | 全氮 Total N/(g·kg-1) | 全磷 Total P/(g·kg-1) | 全钾 Total K/(g·kg-1) | 总钙 Total Ca/(g·kg-1) | 总镁 Total Mg/(g·kg-1) |
---|---|---|---|---|---|
CK | 22.52±1.24 c | 1.37±0.04 b | 16.89±0.30 a | 16.73±0.38 b | 5.03±0.16 c |
T1 | 24.91±0.76 b | 1.50±0.16 ab | 17.81±0.52 a | 20.81±1.33 a | 6.90±0.13 a |
T2 | 25.40±0.19 a | 1.63±0.13 ab | 16.82±0.82 a | 19.86±1.16 a | 5.91±0.40 b |
T3 | 25.03±0.25 b | 1.70±0.18 a | 17.36±1.29 a | 19.04±0.41 a | 6.12±0.48 b |
Table 5 Elements of apple leaves under different treatments
处理 Treatment | 全氮 Total N/(g·kg-1) | 全磷 Total P/(g·kg-1) | 全钾 Total K/(g·kg-1) | 总钙 Total Ca/(g·kg-1) | 总镁 Total Mg/(g·kg-1) |
---|---|---|---|---|---|
CK | 22.52±1.24 c | 1.37±0.04 b | 16.89±0.30 a | 16.73±0.38 b | 5.03±0.16 c |
T1 | 24.91±0.76 b | 1.50±0.16 ab | 17.81±0.52 a | 20.81±1.33 a | 6.90±0.13 a |
T2 | 25.40±0.19 a | 1.63±0.13 ab | 16.82±0.82 a | 19.86±1.16 a | 5.91±0.40 b |
T3 | 25.03±0.25 b | 1.70±0.18 a | 17.36±1.29 a | 19.04±0.41 a | 6.12±0.48 b |
处理 Treatment | 叶绿素a Chlorophyll a/ (mg·g-1) | 叶绿素b Chlorophyll b/ (mg·g-1) | 总叶绿素 Total chlorophyll/ (mg·g-1) | 类胡萝卜素 Carotenoids/ (mg·g-1) |
---|---|---|---|---|
CK | 2.10±0.02 c | 1.05±0.18 b | 3.15±0.19 bc | 0.84±0.02 b |
T1 | 2.39±0.04 a | 1.53±0.06 a | 3.92±0.07 a | 1.06±0.03 a |
T2 | 2.42±0.04 a | 1.35±0.04 ab | 3.77±0.07 ab | 0.99±0.02 a |
T3 | 2.31±0.03 b | 1.22±0.11 b | 3.53±0.13 b | 0.97±0.01 ab |
Table 6 Chlorophyll content of apple leaves under different treatments
处理 Treatment | 叶绿素a Chlorophyll a/ (mg·g-1) | 叶绿素b Chlorophyll b/ (mg·g-1) | 总叶绿素 Total chlorophyll/ (mg·g-1) | 类胡萝卜素 Carotenoids/ (mg·g-1) |
---|---|---|---|---|
CK | 2.10±0.02 c | 1.05±0.18 b | 3.15±0.19 bc | 0.84±0.02 b |
T1 | 2.39±0.04 a | 1.53±0.06 a | 3.92±0.07 a | 1.06±0.03 a |
T2 | 2.42±0.04 a | 1.35±0.04 ab | 3.77±0.07 ab | 0.99±0.02 a |
T3 | 2.31±0.03 b | 1.22±0.11 b | 3.53±0.13 b | 0.97±0.01 ab |
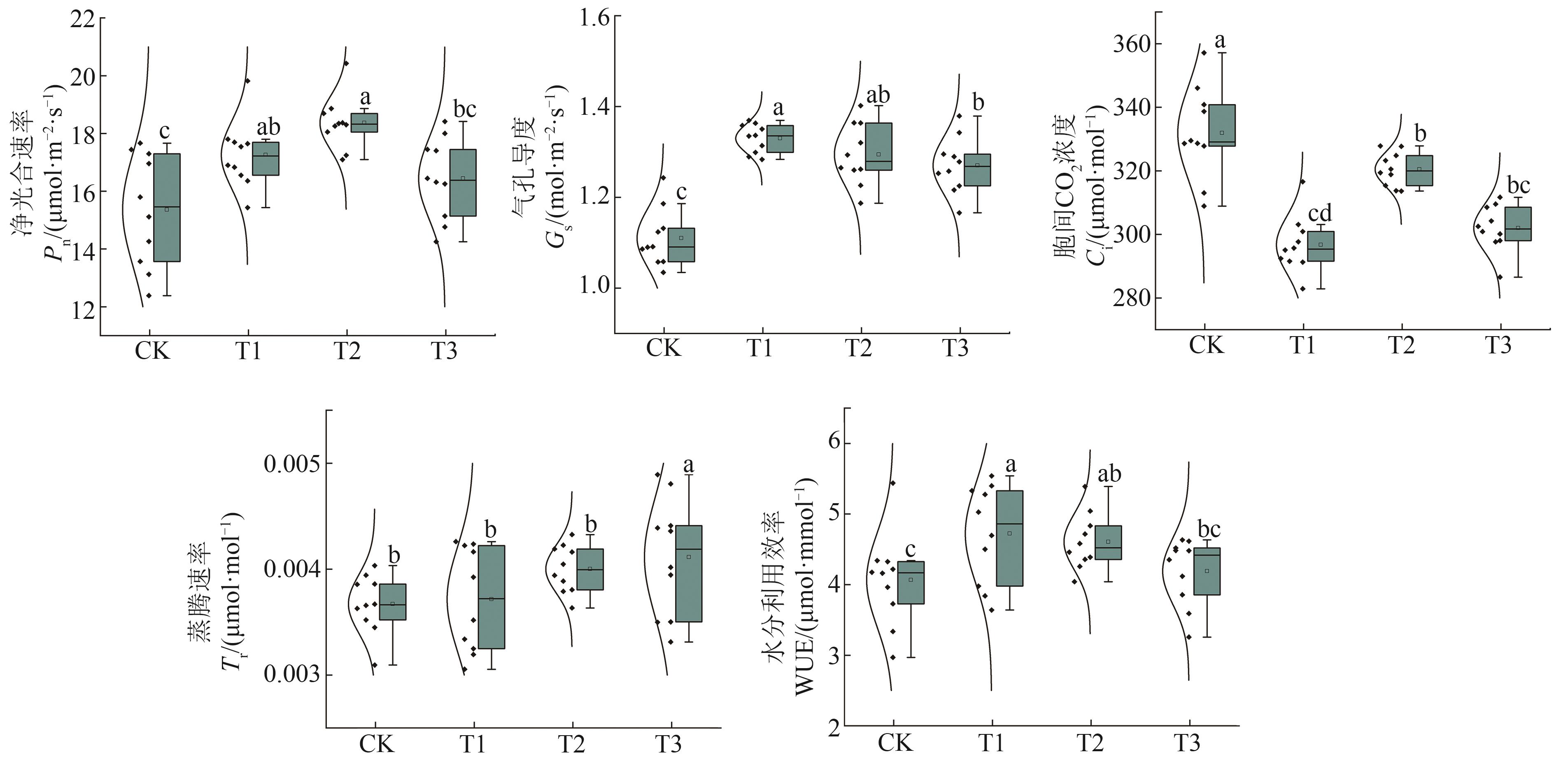
Fig. 4 Gas exchange parameters and water use efficiency of apple leaves under different treatmentsNote:Different lowercase letters indicate significant differences between different treatments at P<0.05 level.
[1] | 王秋萍.陕西:科技创新支撑洛川苹果高质量发展[J].中国果业信息,2023,40(12):60-61. |
[2] | 郑科,尉青.陕西洛川:四能聚力全链条 打造苹果产业新高地[J].果农之友 2023(4):70-71. |
[3] | 马悦欣.有机肥与化肥配施在盛果期苹果园应用效果研究[D].杨凌:西北农林科技大学,2023. |
MA Y X. Study on the application effect of organic fertilizer and chemical fertilizer in apple orchards at peak fruit stage [D]. Yangling: Northwest A&F University, 2023. | |
[4] | 赵海洲,王如刚,李克磊,等.丘陵地苹果园生草对根际土壤理化性状及微生物的影响[J].北方园艺,2024(6):79-85. |
ZHAO H Z, WANG R G, LI K L, et al.. Effects of growing herbage on soil physical and chemical characteristics and microbes in hilly apple orchards [J]. North. Hortic., 2024(6):79-85. | |
[5] | 郝紫微,季兰.我国果园生草研究现状与展望[J].山西农业科学,2017,45(3):486-490. |
HAO Z W, JI L. Present situation and prospect of the study on interplanting grass in orchard in China [J]. J. Shanxi Agric.Sci., 2017,45(3):486-490. | |
[6] | 薛婷婷,程春颖,杨帆,等.葡萄园有机覆盖措施对土壤特性的影响研究进展[J].中国农业学学报,2024,29(6):206-218. |
XUE T T, CHENG C Y, YANG F, et al.. Effect of organic mulching practices on soil properties in vineyards: a review [J]. J. China Agric. Univ., 2024, 29(6):206-218. | |
[7] | 郑秋玲.渭北苹果园生草栽培中生草草种的初步选择[D].杨凌:西北农林科技大学,2011. |
ZHENG Q L. The preliminary selection of herbage species in the apple orchard in Weibei [D]. Yangling: Northwest A&F University, 2011. | |
[8] | 高丽敏,顾泽辰,贡雪菲,等.果园生草对中国果树-土壤系统生产性能影响Meta分析[J].中国农业科技导报,2024,26(4):184-194. |
GAO L M, GU Z C, GONG X F, et al.. Effects of grass growing on the productivity of orchard-soil system in China:a meta-analysis [J]. J. Agric. Sci. Technol., 2024, 26(4):184-194 | |
[9] | 全亮.枣园适宜草种筛选及生草栽培对枣园微域环境和果实品质的影响研究[D].阿拉尔:塔里木大学,2016. |
QUAN L. Study on the screening of grass species and effects of sod culture on micro-climate and fruit quality in Jujube orchard [D]. Alar: Tarim University, 2016. | |
[10] | 杨梦宇.温室生草对土壤理化性状及桃叶果质量的影响研究[D].阿拉尔:塔里木大学,2020. |
YANG M Y. Effects of greenhouse grass on soil physical and chemical properties and peach leaf fruit quality. [D]. Alar:Tarim University, 2020. | |
[11] | 杨燕燕,李承想,张鹏,等.生草栽培对南方鲜食枣生长及光合特性的影响[J].经济林研究,2020,38(1):99-105. |
YANG Y Y, LI C X, ZHANG P, et al.. Effects of sod culture on growth and photosynthetic characteristics of fresh edible jujube in Southern China [J]. Non Wood For. Res., 2020, 38(1):99-105. | |
[12] | 沈良英,王福军,刘彦培,等.基于文献计量的白三叶草栽培技术[J].草业科学,2023,40(4):1027-1038. |
SHEN L Y, WANG F J, LIU Y P, et al.. Research progress of white clover forage cultivation technsiques based on bibliometrics [J]. Pratac. Sci., 2023, 40(4):1027-1038. | |
[13] | 高学芳,孙超,包淑萍.测定土壤田间持水量的环刀法改进研究[J].宁夏工程技术,2019,18(4):347-349. |
GAO X F, SUN C, BAO S P. Improvement of ring-knife method for measuring field moisture capacity [J]. Ningxia Eng.Technol., 2019,18(4):347-349. | |
[14] | 江胜国.国内土壤容重测定方法综述[J].湖北农业科学,2019,58():82-86, 91. |
JIANG S G. Review on soil bulk density determination method [J]. Hubei Agric. Sci., 2019, 58(S2):82-86, 91. | |
[15] | 席利娟,杨洁,邱霞,等.丙烯酰胺保水剂对清见橘橙根际环境及果实品质的影响[J].湖南农业大学学报(自然科学版),2018,44(5):532-538. |
XI L J, YANG J, QIU X, et al.. Effects of the acrylamide super absorbent polymers on the rhizosphere environment and fruit quality of Kiyomi tangor [J]. J.Hunan Agric.Univ. (Nat.Sci.),2018, 44(5):532-538. | |
[16] | 殷陶刚,李玉泽.土壤酶活性影响因素及测定方法的研究进展[J].矿产勘查,2019,10(6):1523-1528. |
YIN T G, LI Y Z. Research progress on factors affecting soil enzyme activity and its determination methods [J]. Miner.Explor., 2019, 10(6):1523-1528. | |
[17] | 山东临沂地区农科所化验室 译.土壤酶活性的统一测定方法[J].土壤肥料,1979(1):50-51. |
[18] | 范志懿,刘佳嘉.果树叶片营养诊断方法研究进展[J].山西农业科学,2020,48(12):2017-2022. |
FAN Z Y, LIU J J. Research progress on nutritional diagnosis methods of fruit tree leaves [J]. J.Shanxi Agric.Sci., 2020,48(12):2017-2022. | |
[19] | 李志熙,白岗栓,邹超煜,等.自然生草对渭北旱塬苹果园土壤孔隙和水分入渗的影响[J].中国农业大学学报,2022,27(5):146-156. |
LI Z X, BAI G S, ZOU C Y, et al.. Effects of self-sown grass on soil porosity and soil infiltration in apple orchard in Weibei dry plateau [J]. J. China Agric. Univ., 2022, 27(5):146-156. | |
[20] | 高茂盛,廖允成,李侠,等.不同覆盖方式对渭北旱作苹果园土壤贮水的影响[J].中国农业科学,2010,43(10):2080-2087. |
GAO M S, LIAO Y C, LI X, et al.. Effects of different mulching patterns on soil water-holding capacity of non-irrigated apple orchard in the Weibei Plateau [J]. Sci. Agric. Sin., 2010, 43(10):2080-2087. | |
[21] | 吉爽秋,李旭娇,张弛,等.生草不同处理方式对果园土壤温度、含水量及养分的影响[J].草学,2021(6):58-65, 70. |
JI S Q, LI X J, ZHANG C, et al.. Effects of different treatments on soil temperature,water content and nutrients [J]. J. Grassland Forage Sci., 2021(6):58-65, 70. | |
[22] | 韦鑫,张朝权,谢彩云,等.果园生草对梨园土壤理化性质和微生物的影响[J].北方园艺,2023(18):79-86. |
WEI X, ZHANG C Q, XIE C Y, et al.. Effects of grasses cultivation on soil physical and chemical properties and microorganism of pear orchard [J]. North.Hortic., 2023(18):79-86. | |
[23] | 马晓燕.人工生草栽培对南疆果园土壤质量的影响与适宜草种的筛选[D].阿拉尔:塔里木大学,2022. |
MA X Y. Effect of artificial grass cultivation on soil quality in orchards in southern Xinjiang with suitable grasss pecies [D]. Alar: Tarim University, 2022. | |
[24] | 陈学森,毛志泉,姜远茂,等.我国苹果产业节本增效关键技术Ⅲ:果园生草培肥地力技术[J].中国果树,2017(3):1-4. |
CHEN X S, MAO Z Q, JIANG Y M, et al.. The soil fertility improvement technology of growing grass in orchard [J]. China Fruits, 2017(3):1-4. | |
[25] | 王小龙,刘凤之,史祥宾,等.行内生草对葡萄根系生长和土壤营养状况的影响[J].华北农学报,2018,33():230-237. |
WANG X L, LIU F Z, SHI X B, et al.. Effects of grass cover in vineyard on the vine root growth and soil nutrition [J]. Acta Agric. Boreali-Sin., 2018, 33(S1):230-237. | |
[26] | 孙瑶,马金昭,傅国海,等.土壤调理剂和生草互作对果园酸化土壤化学性质及产量的影响[J].中国土壤与肥料,2021(2):61-68. |
SUN Y, MA J Z, FU G H, et al.. Effects of soil conditioner and growing grass on yield and soil chemical properties in orchard acidic soils [J]. Soils Fert. China., 2021(2):61-68. | |
[27] | 李尚玮,杨文权,赵冉,等.果树行间生草对苹果园土壤肥力的影响[J].草地学报,2016,24(4):895-900. |
LI S W, YANG W Q, ZHAO R, et al.. Effects of growing grass on soil fertility of the apple orchard [J]. Acta Agrestia Sin., 2016,24(4):895-900. | |
[28] | 张朋朋,胡雯,管增辉,等.生草对苹果园土壤养分、酶活性及细菌群落的影响[J].西北农林科技大学学报(自然科学版), 2024, 52(9):86-96. |
ZHANG P P, HU W, GUAN Z H, et al.. Effects of grass on soil nutrients, enzyme activities and bacterial community in apple orchard [J]. J. Northwest A&F Univ. (Nat. Sci.), 2024, 52(9):86-96. | |
[29] | 左玉环,刘高远,杨莉莉,等.陕西渭北柿子园种植白三叶草对土壤养分和生物学性质的影响[J].应用生态学报,2019,30(2):518-524. |
ZUO Y H, LIU G Y, YANG L L, et al.. Effect of planting white clover on nutrients and biological properties of soils in persimmon orchard of Weibei, Shaanxi province, China [J]. Chin.J. Appl. Ecol., 2019, 30(2):518-524. | |
[30] | YAO X H, HANG M, LU Z H, et al.. Influence of acetamiprid on soil enzymatic activities and respiration [J]. Eur. J. Soil Biol., 2005, 42(2):120-126. |
[31] | 肖力婷,杨慧林,黄文新,等.生草栽培对南丰蜜橘园土壤酶活性及氮循环功能微生物的影响[J].应用与环境生物学报,2021,27(6):1476-1484. |
XIAO L T, YANG H L, HUANG W X, et al.. Effect of grass cultivation on soil enzyme activities and nitrogen cycling function microorganisms in Nanfeng Tangerine orchard [J]. Chin. J. Appl. Environ. Biol., 2021, 27(6):1476-1484. | |
[32] | 吴玉森,张艳敏,冀晓昊,等.自然生草对黄河三角洲梨园土壤养分、酶活性及果实品质的影响[J].中国农业科学,2013,46(1):99-108. |
WU Y S, ZHANG Y M, JI X H, et al.. Effects of natural grass on soil nutrient,enzyme activity and fruit quality of pear orchard in Yellow River Delta [J]. Sci. Agric. Sin., 2013, 46(1):99-108. | |
[33] | 庞群虎,宋丽华,王竞,等.生草当年对枣园土壤性状及红枣品质的影响[J].西北林学院学报,2019,34(1):124-129. |
PANG Q H, SONG L H, WANG J, et al.. Effects of growing grasses in jujube orchards on soil properties and fruit quality [J]. J.Northwest For. Univ., 2019, 34(1):124-129. | |
[34] | 陈久红.行间生草对‘库尔勒香梨’园土壤理化性质及果实品质的影响[D].石河子:石河子大学,2019. |
CHEN JH. Effects of inter-row grass-growing on soil characteristics and fruit quality of ‘Korla Fragrant pear’ orchard [D]. Shihezi: Shihezi University, 2019. | |
[35] | 李会科.渭北旱地苹果园生草的生态环境效应及综合技术体系构建[D].杨凌:西北农林科技大学,2008. |
LI H K. Eco-environmental effect and integrated technical system of green cover in apple orchard in Weibei dryland areas [D]. Yangling: Northwest A&F University, 2008. | |
[36] | 杨露,毛云飞,胡艳丽,等.生草改善果园土壤肥力和苹果树体营养的效果[J].植物营养与肥料学报,2020,26(2):325-337. |
YANG L, MAO Y F, HU Y L, et al.. Effects of orchard grass on soil fertility and apple tree nutrition [J]. J.Plant Nutr.Fert., 2020, 26(2):325-337. | |
[37] | 周潇,毛凯,干友民.我国地被植物耐荫性研究[J].北方园艺,2007(1):51-53. |
[38] | 马仲炼,马磊,马永翠,等.果园生草对苹果叶片光合特性及果实品质的影响[J].西南农业学报, 2024,37(7):1480-1487. |
MA Z L, MA L, MA Y C, et al.. Effects of grass planting in apple orchard on photosynthetic characteristics of apple leaves and apple quality [J]. Southwest China J. Agric. Sci. 2024, 37(7):1480-1487. | |
[39] | 邢荔.苹果园林间种草对果树光合蒸腾效率及水分利用效率的影响[J].林业科技通讯,2019(9):74-75. |
[40] | 林利.板栗抗旱丰产关键栽培技术研究[D].北京:北京林业大学,2006. |
LIN L. Studies on key cultivation technology of anti-drought and high-yielding of chestnut [D]. Beijing: Beijing Forstry University, 2006. |
[1] | Jidong ZHANG, Yaxiong ZHANG, Wei CHENG, Li PU, Luhang LIU, Yaming WANG. Effects of Combined Application of Biochar and Organic Fertilizer on Soil Physicochemical Properties and Microbial Community Characteristics in Apple Recropping Field [J]. Journal of Agricultural Science and Technology, 2024, 26(8): 213-222. |
[2] | Limin GAO, Zechen GU, Xuefei GONG, Lianming CUI, Dongsen GUO, Ying ZHOU, Lin WANG, Qishun WEI. Effects of Grass Growing on the Productivity of Orchard-Soil System in China: A Meta-Analysis [J]. Journal of Agricultural Science and Technology, 2024, 26(4): 184-194. |
[3] | Mingze MA, Fan ZHANG, Tian WANG, Wenfang LI, Juan MAO, Baihong CHEN, Zonghuan MA. Effects of Different Fertilizers on Soil and Sapling Growth in Cherry Orchard [J]. Journal of Agricultural Science and Technology, 2024, 26(11): 191-203. |
[4] | Jingjie GUO, Xiaomeng REN, Zhongju MENG, Tao WANG, Shuai QI, Jiajia SONG, Baomengkenashun, Shengli HAN. Characteristics of Soil Physicochemical Properties of Plant Protection System for Salt Lake in Semi-arid Wind-sand Grassland Area [J]. Journal of Agricultural Science and Technology, 2024, 26(1): 182-192. |
[5] | Rui XIAO, Lu TAN, Liang WU, Hao ZHANG, Jiayuan GUO, Haijun YANG. Microbial Community Structure and Diversity in Rhizosphere and Non-rhizosphere Soil of Kochia scoparia Under Cd Stress [J]. Journal of Agricultural Science and Technology, 2023, 25(8): 203-215. |
[6] | Lu MENG, Jingwen FAN, Xinyu SAI, Lusheng ZENG, Xiangyun SONG, Dejie CUI. Effects of Lime on Soil Improvement and Plant Growth in Apple Orchards [J]. Journal of Agricultural Science and Technology, 2023, 25(4): 197-204. |
[7] | Min LI, Gangtie LI, Hongwu ZHANG, Jiahuan CHEN. Effects of Stubble on Soil Physical and Chemical Properties of Three Kinds of Protein Mulberry Forest [J]. Journal of Agricultural Science and Technology, 2022, 24(1): 172-182. |
[8] | LYU Penghui1§, ZHANG Zhendong 1§, WANG Ye1, ZHOU Jihong2, SONG Zhenwei3, DUAN Liusheng1, LI Runzhi1*. Preliminary Study on Seed Vigor of Red Clover Seeds with Different Colors [J]. Journal of Agricultural Science and Technology, 2021, 23(3): 58-65. |
[9] | YANG Jingjing, ZHANG Qingqing*, Tuerxunnayi·Reyimu, Amanula·Yimingniyazi, Xueretijiang·Maitinuri. Effects of Nomadic Grazing and Settled Grazing on the Diversity of Fungi Community in Seriphidium transiliense Desert Grassland [J]. Journal of Agricultural Science and Technology, 2020, 22(7): 166-173. |
[10] | YE Xie-feng1, LING Ai-fen2, LIU Qing-hua3, HAO Wei-hong4, LI Yan-tao4, XUE Qing-. Effect of Humic Acid on Soil Physical and Chemical Properties in Tobacco Field [J]. , 2010, 12(6): 120-125. |
[11] | YU Zhu, CHEN Yan, SUN Qi-zhong, YU Yan-dong. Effects of Different Additives on Silage Fermentation Quality and in vitro Digestibility of White Clover [J]. , 2009, 11(4): 133-138. |
[12] |
WANG Dan1, WU Yan-min2, LIU Shui3, LV Hui1, LEI Jiang-li1.
Studies on the Establishment of Genetic Transformation System of White Clover(Trifolium repens L.)by Soaking Seeds with Agrobacterium tumefaciens [J]. , 2009, 11(1): 96-101. |
Viewed | ||||||
Full text |
|
|||||
Abstract |
|
|||||